BMI=肥満の目安?!計算方法や理想体重の出し方を管理栄養士が簡単解説
BMIとは身長と体重から肥満度を数値化した、健康管理の基本の数値です。
「自分のBMIって高い?」「理想体重を知りたい」「どうやって計算するの?」そう気になる方も多いのではないでしょうか。
本記事では、管理栄養士がBMIの正しい計算方法・理想体重の出し方・逆算のやり方までわかりやすく解説します。
NOSH MAGAZINEでは、他にも食生活を豊かにする健康情報をお届けしています。ぜひチェックしてみてください。
※本記事は、一般的な健康情報の提供を目的としています。体調に不安のある方や、持病をお持ちの方、ご高齢の方、妊娠中の方は、必ずかかりつけ医にご相談ください。
BMIとは?意味を分かりやすく解説
BMI(Body Mass Index、体格指数)とは、身長と体重のバランスから、体型をおおまかに判断できる指標です。肥満ややせすぎなど、体型の傾向を知る目安として広く使われており、健康管理やダイエット時の参考になります。
ただし、筋肉量が多い人や高齢者では、数値に実際の体組成が正確に反映されない場合がある点に注意が必要です。
BMIでわかること
- 大まかな体型を判断できる
- 自分が太りすぎ・やせすぎか知ることができる
- 生活習慣病(糖尿病・高血圧など)発症リスクの目安がわかる
- 健康診断やダイエットの基準として使用できる
BMIでわからないこと
- 体脂肪の量や内臓脂肪の多さ
- 筋肉と脂肪の割合(体の中身)
- 年齢や体格差の影響(特に高齢者や筋肉質な人)
- 血圧・血糖などの具体的な健康状態

BMIは体のバランスを大まかに知るためのもので、正確に判断できるものではありません。正確に健康状態を知るためには、腹囲や体脂肪率などの数値もあわせて確認することが大切です。
BMIの計算方法!電卓・自動計算サイト・逆算のやり方
BMIの計算はシンプルで、電卓があればすぐに求められます。計算が面倒な方は、厚生労働省の自動計算サイトを使うと数値を入力するだけでBMIを確認できますよ。
▶参考:厚生労働省「BMI自動計算ツール」はこちらをクリック
- BMIの計算式
- BMIの標準体重の出し方
- 理想の体重を逆算する方法
BMIの計算式
例:160cm・50kgの場合 → 50 ÷ 1.6 ÷ 1.6 =約19.5
- 体重(kg)÷身長(m)÷身長(m)
BMIの計算時に注意すべきは、身長をメートル(m)で表すことです。例:165cm → 1.65
| 項目 | 低体重(やせ) | 普通体重 | 肥満 |
|---|---|---|---|
| BMI*¹ | 18.5未満 | 18.5~24.9 | 25.0以上 |
自動で計算したい方は、厚生労働省の自動計算サイトを活用してみてください。
▶参考:厚生労働省「BMI自動計算ツール」はこちらをクリック
BMIの標準体重の出し方
BMIには「標準体重」という目安があります。標準体重とは、BMIが22となるときの体重を指し、統計的に最も病気のリスクが低いとされる体重です。
実際にBMIが22のときに統計的に見て死亡率が最も低く、糖尿病や高血圧、脂質異常症などの生活習慣病にもかかりにくいことが報告されています*¹。
標準体重の出し方は以下の通りで、身長がわかれば計算できます。
例:160cmの場合 →1.6×1.6×22=56.32㎏
- 身長(m)× 身長(m)× 22
標準体重を求めるときも、BMIと同様に身長はメートル単位で表します。計算時は注意しましょう。例:165cm → 1.65
※ただし、筋肉量や年齢、体のつくりによって理想的な体重は異なります。
理想の体重を逆算する方法
いわゆる理想の体重とは、死亡率が最も低く、糖尿病・高血圧・脂質異常症などの生活習慣病にもかかりにくいと報告*¹されている「標準体重」です。
つまり、標準体重を求めるときと同じ計算式になります。
BMIの基準値と判定一覧|やせ・普通・肥満の目安
BMIのやせ・普通・肥満の基準値や、数値をひと目で確認できる早見表をご紹介。さらに、BMIが高い場合・低い場合に起こりやすいリスクについても解説します。
- BMI基準値一覧
- BMIが高いとどうなる?生活習慣病との関係
- BMIが低いとどうなる?栄養不足のリスク
BMI基準値一覧
やせ・普通・肥満の目安は、BMIの数値によって次のように分けられます。
| 項目 | 低体重(やせ) | 普通体重 | 肥満 |
|---|---|---|---|
| BMI*¹ | 18.5未満 | 18.5~24.9 | 25.0以上 |
以下の早見表でも、BMIの数値から「やせ・普通・肥満」の目安を確認できます。
BMIが高いとどうなる?生活習慣病との関係
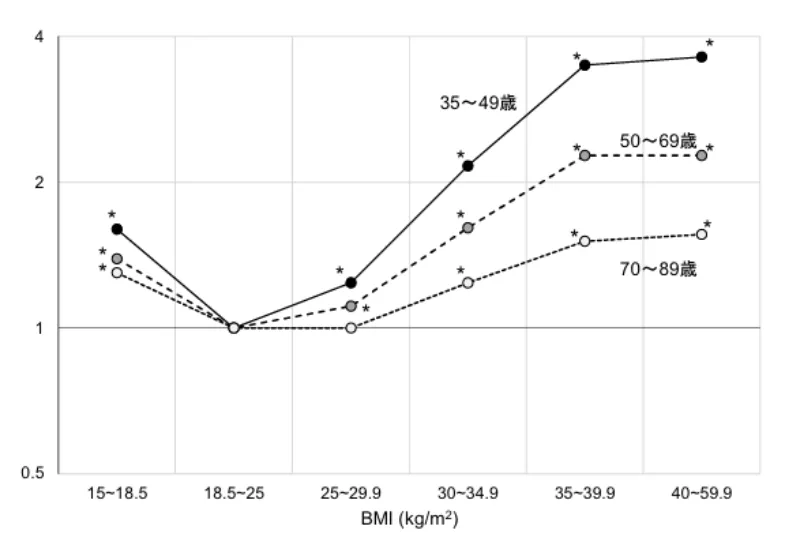
BMIの高い状態が続くと、統計的に見て総死亡率が上昇する傾向があることが、多くの研究で報告されています。特に働きざかりの30~49歳でこの傾向が強いとされています。
▼総死亡率とBMIの関係▼
また、BMIが高い人ほど、血圧やnon-HDLコレステロール値(善玉コレステロール以外の値)、糖尿病の有病率が高くなることが報告されています。それぞれ高血圧・脂質異常症・糖尿病といった生活習慣病に関わる要因です。
つまり、BMIが高いことは体重の問題にとどまらず、将来の健康リスクを見極めるサインとしても捉えられます。
BMIが低いとどうなる?栄養不足のリスク
令和5年の厚生労働省の調査*³によると、BMIが18.5未満の「やせ」に分類される人は、20~30代女性で約20%(5人に1人)にのぼります。
BMIが低すぎると、鉄欠乏などの潜在的な栄養不足に陥りやすく、貧血による集中力の低下・頭痛・食欲不振などの症状が現れるケースも報告されています*⁴。
さらに、無理な食事制限によるダイエットは筋肉量の減少や基礎代謝の低下を招き、結果として脂肪が蓄積しやすい体質につながるおそれもあります*⁵。
若い世代の「やせ」は単に体質の問題だけでなく、体型に対する誤ったイメージや強いやせ願望が影響している場合があります。
まずは体型への考え方を見直すことで、無理なダイエットや栄養不足を防ぐことができるでしょう。
男女別・年齢別に見る理想のBMIと平均値一覧まとめ
年齢別・男女別に理想のBMIと日本人の平均BMIをまとめました。理想のBMIは、BMIの判定基準「普通体重」の値を使用しています。一方、平均BMIは令和5年「厚生労働省|国民健康・栄養調査(令和5年)」の結果をもとに作成しました。
ご自身の年齢や性別と照らし合わせて、現在の体型の目安としてご覧ください。
- 年齢別|男性の平均BMIの傾向
- 年齢別|女性の平均BMIの傾向
- 年齢別(20代〜60代)BMIの理想
- 高齢者の理想BMI目安
年齢別|男性の平均BMIの傾向
| 年齢 | BMI平均値 |
|---|---|
| 15~19歳 | 21.4 |
| 20~29歳 | 22.7 |
| 30~39歳 | 23.8 |
| 40~49歳 | 24.0 |
| 50~59歳 | 24.1 |
| 60~69歳 | 24.1 |
| 70歳以上 | 23.4 |
年齢別|女性の平均BMIの傾向
| 年齢 | BMI平均値 |
|---|---|
| 15~19歳 | 20.7 |
| 20~29歳 | 21.0 |
| 30~39歳 | 21.5 |
| 40~49歳 | 22.2 |
| 50~59歳 | 22.7 |
| 60~69歳 | 22.9 |
| 70歳以上 | 22.7 |
年齢別(20〜60代)BMIの理想
| 年齢 | 理想とするBMI |
|---|---|
| 18~29歳 | 18.5~24.9 |
| 30~39歳 | 18.5~24.9 |
| 40~49歳 | 18.5~24.9 |
| 50~59歳 | 20.0~24.9 |
| 60~64歳 | 20.0~24.9 |
年齢によって、健康的とされるBMIの範囲は少しずつ異なります。
男女ともに18〜49歳ではBMI18.5〜24.9が理想的で、50〜64歳では20.0〜24.9と下限がやや高めに設定されています。
これは、加齢にともない筋肉量が減り、低体重だと体力や免疫力が落ちやすくなるためです。さらに65歳以上では下限が21.5まで引き上げられていることも考慮して設定されています。
高齢者の理想BMI目安
| 年齢 | 理想とするBMI |
|---|---|
| 65~74歳 | 21.5~24.9 |
| 75歳以上 | 21.5~24.9 |
高齢者の理想的なBMIは、65〜74歳で21.5〜24.9、75歳以上でも同じく21.5〜24.9とされています。
65歳以上ではBMI20〜21付近で最も死亡率が低いことが分かっていますが、その他考慮すべき健康障害等も考慮し21.5以上に設定されています。
ただし、高齢期はBMIの数値だけで判断せず、日常生活のしやすさやその人らしい生活の維持も大切です。無理に体重を減らすのではなく、しっかり食べて元気に過ごせる体づくりを意識しましょう。
BMIだけではわからない!体脂肪率・筋肉量との違い

BMIはおおまかに体格を判断できる指標ですが、体の中身までは反映されません。では、内側まで理解するにはどうすればよいのでしょうか。
- BMIと腹囲の関係を正しく理解しよう
- 筋肉質な人や高齢者がBMIで誤判定されやすい!
- 重要なのは体組成(筋肉・脂肪・骨量)も見ること
BMIと腹囲の関係を正しく理解しよう
BMIは、体のどこに脂肪がついているのかまでは判定できません。そこで注目されているのが腹囲(ウエスト周囲計)です。
お腹まわりの脂肪量を推定でき、研究ではBMIよりも死亡率や病気の発症リスクを予測しやすいとも報告されています*”。
一方で、BMIは計算が簡単で測定に手間がかからない点が特徴です。つまり、BMIで全体のバランスを見て、腹囲で脂肪の状態をチェックすると、より正確な健康管理につながるでしょう。
▼参考資料:測定時の注意点▼
筋肉質な人や高齢者がBMIで誤判定されやすい!
BMIは筋肉量の違いや加齢による体組成の変化は反映されません。例えば、以下のような状況が考えられます。
| 対象 | 特徴 | BMI上の判定 | 実際の状況 |
|---|---|---|---|
| アスリート・トレーニングをしている人 | 筋肉量が多く体重が重い | 肥満と判定されやすい | 脂肪が少なく健康的 |
| 高齢者 | 筋肉量が減少し脂肪率が上昇 | 普通体重と判定されやすい | サルコペニア肥満(筋肉減少+脂肪過多)の可能性 |
上記のようにBMIの数値だけで健康を判断すると、過剰または過小な評価につながる恐れがあるでしょう。
重要なのは体組成(筋肉・脂肪・骨量)も見ること
体を正しく評価するためには、体重やBMIといった数値だけでなく、体組成(たいそせい)を知ることが大切です。体組成とは、筋肉・脂肪・骨・水分など体を構成する成分の割合を指します。
例えば、同じ体重でも筋肉が多い人と少ない人では、見た目も健康リスクも異なります。筋肉量が多ければ基礎代謝が高く、太りにくい体を維持できますが、筋肉が少ないとエネルギー消費が減り、脂肪がつきやすくなる原因になるでしょう。

健康診断や人間ドックで体組成を測定したり、家庭用の体組成計(体脂肪率や内臓脂肪レベルも測定できるタイプ)を使ったりすると、体の中身をより正確に理解できますよ。
BMI高めの人が意識すべき食事のポイント|管理栄養士が解説
BMIが高めの人が健康的に体重を整えるには、まず「バランスのよい食事」が基本です。そのうえで意識したい食事のポイントを管理栄養士がわかりやすく解説します。
- 適切なカロリー管理
- 糖質・脂質の摂り方に注意
- 野菜を350g意識してとる
- 食事のタイミングと回数のコツ
- 「ふと食べてしまう」食品に気を付ける
適切なカロリー管理
BMIを健康的に下げるためには、摂取カロリーよりも消費カロリーを多くすることが基本です。難しく考える必要はなく、食べすぎ・飲みすぎを防ぎ、少しでも体を動かす習慣を持つことから始めましょう。
食べすぎを防ぐポイントは、腹八分目を意識し 、よく噛んで食べることです。噛むことで早食いを防ぐと共に満腹感を得やすくなり、肥満予防につながると報告されています*⁵。
また、余分なものを食べない意識も大切です。特に、つい口にしてしまう食品や飲み物の量・頻度を見直してみましょう。例えば、以下のような食品です。
- インスタントラーメン
- お菓子(チョコ・スナック・クッキーなど)
- アイスやケーキなどの甘いデザート
- 揚げ物(唐揚げ・フライドポテトなど)
- 甘い飲み物(ジュース・缶コーヒー・ラテなど)
- アルコール

これらを完全にやめる必要はありません。毎日から週3〜4回に減らしたり、食べすぎた翌日は軽めにしたりと、無理のない調整を心がけましょう。
脂質のとり方に注意
厚生労働省の調査*³によると日本人男性の約37.4%、女性の約46.4%が脂質を多くとりすぎていると報告されています。脂質のとりすぎはBMI上昇のリスクを高めると報告*⁶されていることから、食事の際に意識したいポイントです。
しかし、脂肪酸には、心筋梗塞などの循環器疾患や肥満リスクを高めるものと、逆に置き換えることでこれらのリスクを低下させるものがあります*²。
以下の脂肪酸は、置き換えることで健康リスク低下が報告されています。
| 種類 | 代表的な食品 |
|---|---|
| DHA、EPA | 青魚(サバ、イワシ、アジ、サンマ)、ブリ、マグロ |
| α-リノレン酸 | えごま油、アマニ油、チアシード |
| リノール酸 | コーン油、大豆油などの植物油やナッツ類 |

動物性・植物性・魚介類それぞれに異なる種類の脂肪酸が含まれるため、どれか一つに偏るのではなく、日常でバランスよく取り入れることが大切です。
野菜を350g意識してとる
野菜には、食物繊維やビタミン、ミネラルが豊富に含まれ、食品自体の「かさ」が多いため満腹感を得やすいことが特徴です。また、食物繊維は腸内環境を整え、脂質や糖質の吸収を緩やかにする作用があるため、体重管理に役立ちます。
ある研究では、野菜を1日350g以上摂取している人は、多くの栄養素の基準値を満たし、より健康的な食生活を送っていることが示されています*⁷。
同じメニューが続くと飽きやすいですが、野菜の種類や調理法を変えるだけで、味や食感のバリエーションを増やすことができます。
▼メニューの工夫例▼
- 生のままサラダにする
- 蒸して温野菜にする
- スープに加える
- 焼き野菜やグリル野菜で香ばしさを楽しむ
- ナッツや海藻などを加える

冷凍庫にカット野菜を準備しておくと、使いたいときにすぐ調理できるのでおすすめです。
もっと手軽に健康を意識した食生活を手に入れる方法とは?
忙しい毎日でも、健康を意識した食事を手軽に取り入れたい…!
そんな方におすすめなのが、宅配弁当サービス 「nosh(ナッシュ)」 です。
自炊や外食では栄養バランスが崩れがちですが、ナッシュなら電子レンジで温めるだけで栄養バランスに配慮された食事を楽しめます。
管理栄養士×シェフが考案したメニュー
ナッシュのメニューは、専属の管理栄養士と一流シェフが共同開発。美味しさと栄養バランスの両立を追求し、和・洋・中・スイーツまで約100種類の豊富なラインナップがそろっています。
どのメニューも糖質や塩分に配慮しつつ、見た目も味も満足できるよう工夫されています。
栄養価がひと目でチェックできる
ナッシュでは1食ごとにカロリー・糖質・脂質・塩分・食物繊維がパッケージや注文画面にわかりやすく表示されています。
そのため「今日は糖質を控えたい」「塩分を少なめにしたい」といった目的に合わせて、簡単にメニューを選べます。
さらに嬉しいポイントも!
- 糖質30g以下・塩分2.5g以下※
- 定期配送でいつでも
冷凍庫にストック可能 - 食べ終わった容器はそのまま捨てられて片付けも簡単
どんなメニューがあるか気になる方は、以下のボタンからチェックしてみてください!
\ナッシュの魅力を深掘り!/
まとめ
BMIは、体重(kg)÷身長(m)÷身長(m)で求める、体型をおおまかに把握できる指標です。BMIを計算すると、自分の体重が標準範囲にあるか、やせすぎ・肥満傾向にあるかを確認できます。
ただし、BMIだけで体の中身まではわかりません。健康管理のためには、筋肉・脂肪・骨量などの体組成もあわせて参考にすることが大切です。
また、食事を通じてBMI高めの方が目指すのは、適切なカロリー摂取と栄養バランスの確保です。しかし、忙しくて自炊の時間が取れなかったり、つい外食やコンビニ食に頼ってしまう方も少なくありません。
そんな方におすすめなのが宅配弁当サービス「ナッシュ」です。ナッシュなら、電子レンジで温めるだけで栄養バランスに配慮された食事を手軽に楽しめます。
どんなサービスかもっと知りたい方は、以下のボタンからチェックしてみてください!
\ナッシュの魅力を深掘り!/
参考文献(出典)
*¹厚生労働省|健康日本21アクション支援システム|肥満と健康
*²厚生労働省|日本人の食事摂取基準(2025年版)
*³厚生労働省|国民健康・栄養調査(令和5年)
*⁴厚生労働省|健康日本21アクション支援システム|鉄(てつ)
*⁵農林水産省|「第4次食育推進基本計画」啓発リーフレットHTML版|ゆっくりよく噛んで食べていますか?
*⁶農林水産省|トランス脂肪酸に関する情報|脂質やトランス脂肪酸が健康に与える影響

石川伊澄 管理栄養士
医療系企業にて管理栄養士として勤務し、年間100件以上の個別栄養相談を担当。加齢に伴う健康課題や女性のライフステージに応じた栄養管理、若年層の食生活改善まで、幅広い年代への指導経験を持つ。現在はフリーランスとして、管理栄養士の知見を活かし、健康・食分野の記事執筆や監修を中心に活動中。
この記事のKEYWORDS :








